TEACHERS
GALLERY
PRICING
SIGN IN
TRY ZURU
GET STARTED
Loop
Audio
Interval:
5s
10s
15s
20s
60s
Play
1 of 5
Slide Notes
Download
Go Live
New! Free Haiku Deck for PowerPoint Add-In
Título
Share
Copy
Download
0
110
Published on Nov 22, 2015
No Description
View Outline
MORE DECKS TO EXPLORE
PRESENTATION OUTLINE
1.
MOVIMIENTO ACELERADO
CAIDA LIBRE Y TIRO VERTICAL
Photo by
thepartycow
2.
EN AUSENCIA DE FRICCIÓN TODOS LOS CUERPOS
CAEN A LA TIERRA CON LA MISMA ACELERACIÓN
Photo by
Laura Galley
3.
En la Tierra, al nivel del mar y con una latitud de 45 grados,
la aceleración
gravitacional es de:
+/-
9.81 m/s^2
Photo by
KelseyFaust
4.
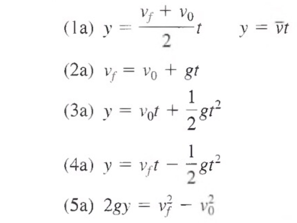
Untitled Slide
5.
HAY QUE DETERMINAR EL SENTIDO POSITIVO PARA EL DESPLAZAMIMIENTO
PARA EL ANALISIS CON ESTAA FORMULAS
Photo by
United States Marine Corps Official Page
Edgar Anaya
https://www.facebook.com/app_scoped_user_id/10204519482607358/
×
Error!